Investors

Välkommen till Mendus investor sida. Mendus är noterat på NASDAQ Stockholm under tickersymbolen IMMU.
Konvertibla skuldebrev
Den 26 augusti 2022 ingick Mendus ett finansieringsavtal avseende erhållande av finansieringsåtagande med Negma Group (“Negma”) där Negma har åtagit sig att teckna upp till 200 miljoner kronor i konvertibla skuldebrev. Per den 6 april 2023 fanns inga utestående konvertibler till Negma och i samband med kapitalanskaffningen under juni – juli 2023 ingick bolaget ett avtal där Mendus har åtagit sig gentemot Pareto Securities AB att inte nyttja ytterligare finansiering från Negma arrangemanget.
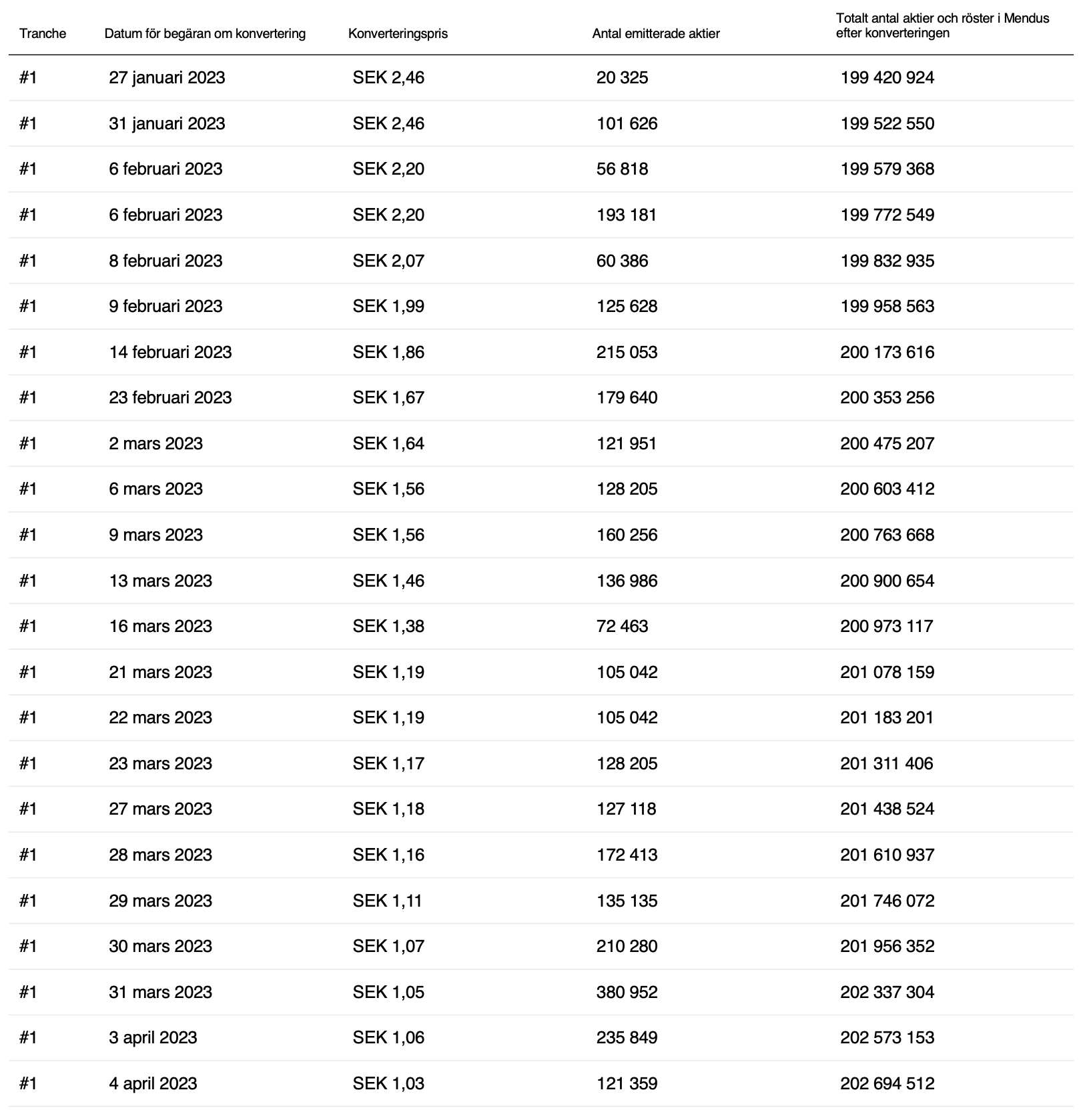
För mer information om finansieringsavtalet hänvisas till de pressmeddelanden som publicerades 26 augusti 2022, 26 oktober 2022, 5 januari 2023, 7 mars 2023, 6 april 2023 och 7 June 2023. I tabellen nedan presenteras de konvertibla skuldebrev och aktier som emitterades enligt finansieringsavtalet under januari – april 2023.
Utfärdade konvertibla skuldebrev och konvertering av aktier till Negma Group
Utfärdade konvertibla skuldebrev

Konvertering konvertibla skuldebrev

Pressmeddelanden enligt finansieringsavtalet med Negma Group
6 april 2023: Mendus löser in de utestående konvertibla skuldebreven från Negma Group – Läs mer
4 april 2023: Mendus tillkännager begäran från Negma Group om konvertering av konvertibla skuldebrev – Läs mer
4 april 2023: Mendus tillkännager begäran från Negma Group om konvertering av konvertibla skuldebrev – Läs mer
31 mars 2023: Mendus tillkännager begäran från Negma Group om konvertering av konvertibla skuldebrev – Läs mer
30 mars 2023: Mendus tillkännager begäran från Negma Group om konvertering av konvertibla skuldebrev – Läs mer
29 mars 2023: Mendus tillkännager begäran från Negma Group om konvertering av konvertibla skuldebrev – Läs mer
28 mars 2023: Mendus tillkännager begäran från Negma Group om konvertering av konvertibla skuldebrev – Läs mer
27 mars 2023: Mendus tillkännager begäran från Negma Group om konvertering av konvertibla skuldebrev – Läs mer
23 mars 2023: Mendus tillkännager begäran från Negma Group om konvertering av konvertibla skuldebrev – Läs mer
22 mars 2023: Mendus tillkännager begäran från Negma Group om konvertering av konvertibla skuldebrev – Läs mer
21 mars 2023: Mendus tillkännager begäran från Negma Group om konvertering av konvertibla skuldebrev – Läs mer
16 mars 2023: Mendus tillkännager begäran från Negma Group om konvertering av konvertibla skuldebrev – Läs mer
13 mars 2023: Mendus tillkännager begäran från Negma Group om konvertering av konvertibla skuldebrev – Läs mer
9 mars 2023: Mendus tillkännager begäran från Negma Group om konvertering av konvertibla skuldebrev – Läs mer
7 mars 2023: Mendus säkrar ett andra aktieägarlån från Van Herk Investment och minskar antalet utestående konvertibla obligationer till Negma Group – Läs mer
6 mars 2023: Mendus tillkännager begäran från Negma Group om konvertering av konvertibla skuldebrev – Läs mer
2 mars 2023: Mendus tillkännager begäran från Negma Group om konvertering av konvertibla skuldebrev – Läs mer
23 februari 2023: Mendus tillkännager begäran från Negma Group om konvertering av konvertibla skuldebrev – Läs mer
14 februari 2023: Mendus tillkännager begäran från Negma Group om konvertering av konvertibla skuldebrev – Läs mer
9 februari 2023: Mendus tillkännager begäran från Negma Group om konvertering av konvertibla skuldebrev – Läs mer
8 februari 2023: Mendus tillkännager begäran från Negma Group om konvertering av konvertibla skuldebrev – Läs mer
6 februari 2023: Mendus tillkännager begäran från Negma Group om konvertering av konvertibla skuldebrev – Läs mer
31 januari 2023: Mendus tillkännager begäran från Negma Group om konvertering av konvertibla skuldebrev – Läs mer
30 januari 2023: Mendus tillkännager begäran från Negma Group om konvertering av konvertibla skuldebrev – Läs mer
5 januari 2023: Mendus tillkännager begäran om den första tranchen av konvertibelt lån från Negma Group – Läs mer
26 october 2022: Mendus säkrar det första aktieägarlånet från Van Herk Investments och ingår slutlig – Läs mer
26 augusti 2022: Mendus tillkännager erhållande av finansieringsåtaganden på totalt upp till 250 miljoner kronor från Van Herk Investments och Negma Group – Läs mer